In a bid to fix a funding gap for the county’s long-stalled jail consolidation project, the Dane County Board’s Black Caucus wants to send jail inmates with severe medical needs to local hospitals, build a smaller jail with fewer beds and call for other reforms to address the jail’s extreme racial disparities.
In an unfortunate event your identity was stolen, here are nine tips to help you recover your identity, according to the Department of Agriculture, Trade and Consumer Protection (DATCP).
People are also reading…
Remembering the 1996 fire that destroyed Madison's Hotel Washington
Hotel Washington before the fire
The front of the Hotel Washington on West Washington Avenue in Madison before the fire.
Club de Wash before the fire
Club de Wash was the concert venue inside Hotel Washington. Hotel Washington was destroyed by a fire in 1996. This photo, published that year, is of alt-rock trio Ben Folds Five performing a sold out show at the venue.
Hotel Washington fire
Fire trucks set up on West Washington Avenue on Feb. 18, 1996, to battle the Hotel Washington fire.
Hotel Washington fire
A crowd gathers on West Washington Avenue about 8 a.m. Feb. 18, 1996, to watch as a violent, fast-moving fire engulfs the Hotel Washington. The fire department was called at about 6:15 a.m., and additional firefighters arrived at 6:28.
Hotel Washington fire
The Hotel Washington was destroyed by fire Feb. 18, 1996.
Hotel Washington fire
Smoke from the burning Hotel Washington marked the Madison skyline the morning on Feb. 18, 1996. The old Madison depot is at lower left. The Dane County Mental Health Center is at lower right.
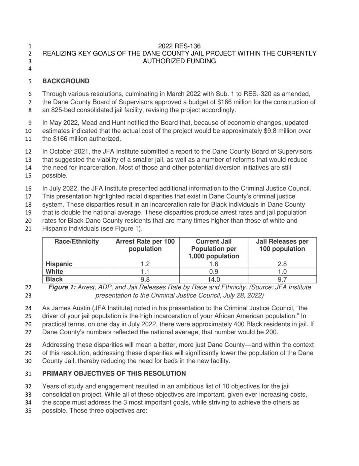
Hotel Washington in ruins
Firefighters attempt to extinguish the blaze at the Hotel Washington after most of the building has collapsed on Feb. 18, 1996.
People watch Hotel Washington blaze
A small group of people watches as fire destroys the Hotel Washington on Feb. 18, 1996.
Hotel Washington fire
Firefighters at the scene of the Hotel Washington blaze Feb. 18, 1996.
Hotel Washington fire
Firefighters fight the Hotel Washington fire.
Fighting the fire
The Hotel Washington burned down Feb. 18, 1996.
Extinguishing hot spot
Amid the charred rubble and ice-glazed trees and fences, a Madison firefighter douses a hot spot at the remains of the Hotel Washington on Feb. 19, 1996.
Friends embrace
Friends embrace as they view the remains of the Hotel Washington on Feb. 18, 1996.
Freezing water
The Citgo gas station next door to the Hotel Washington becomes an icicle palace.
Hotel Washington fire
Fire hoses play on the rubble of the historic Hotel Washington on Feb. 18, 1996.
Barber's Closet fire damage
A fire Feb. 18, 1996, destroyed the Hotel Washington, including the Barber's Closet.
Hotel Washington flowers
Among those mourning the loss of the Hotel Washington on Feb. 19, 1996, were two people who left flowers on a fence surrounding its remains. The card reads: "Dear Hotel, Dear Rod's & Barber's Closet & New Bar. We love and miss you. Kay & Shelley."
Gutted hotel with flag
A rainbow flag, the symbol of gay and lesbian identity, flies Feb. 20, 1996, over the charred remains of the Hotel Washington.
Hotel Washington vigil
Sue Filo, Amy Udelhofen and Mandy Woods, left to right, joined more than 500 people outside the Capitol in a vigil Feb. 19, 1996, for the Hotel Washington.
Hotel Washington service
The Rev. Diane Reistroffer of University United Methodist Church leads friends of the Hotel Washington in a service of song and remembrance Feb. 18, 1996.
Fire investigators
Fire inspectors examine the ruins of the Hotel Washington.
Salvaging what they can
Employees of businesses located in the Hotel Washington load whatever they could salvage into a U-Haul truck Feb. 19, 1996.
Washington Hotel steps
A set of steps is the only thing that remains March 6, 1996, at the burned and demolished Hotel Washington, where an emptied ashtray caused the $2 million blaze Feb. 18, 1996.
State Journal front page Feb. 19, 1996
State Journal front page Feb. 19, 1996
State Journal coverage Feb. 19, 1996
State Journal coverage Feb. 19, 1996
State Journal coverage Feb. 19, 1996
State Journal coverage Feb. 19, 1996
Trumpf Hotel, 1906
A view across an unpaved street of the Hotel Trumpf, 636 W. Washington Ave. The entrance is on the corner of the building facing the intersection. Originally called the Madison House, the wooden hotel caught fire in 1906 and was rebuilt as a brick building by owner E.G. Trumpf, and renamed the Hotel Trumpf. In 1916, the hotel was sold to August Harbort and renamed Hotel Washington.
Hotel Washington in 1935
Exterior view from the street of the Hotel Washington, 636 W. Washington Ave., on April 21, 1935.

